L'argomento del sistema zero e dei numeri multivirgola è inedito,
viene introdotto per la prima volta in assoluto in questo blog.
Adesso sorge spontanea la domanda:
cosa accadrebbe se utilizzassimo il sistema multivirgola anche nel nostro sistema decimale ???
Cosa accadrebbe se scrivessimo numeri multivirgola come i seguenti ?
0,000,0,5
0,5,5,5
0,500,5,5
0,5,55
0,55,55
0,55,1
0,6,5
0,555,95
A cosa corrispondono quei numeri nel nostro sistema monovirgola ?
Ragionando per analogia con il precedente sistema di numerazione zero, riusciamo a comprendere il significato della notazione multivirgola anche nel sistema decimale.
In pratica le virgole sono i separatori dei decimi, centesimi, e così via.
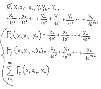
Il tutto viene spiegato con la prossima immagine:
La prossima immagine ci aiuta a capire quale sarà l'algoritmo per trasformare un numero multivirgola in un numero monovirgola, e nel contempo propone anche un formalismo matematico per la descrizione del numero multivirgola:
In pratica, dopo ogni virgola, si riparte dalla successiva potenza di dieci, anche se tra le due virgole quella potenza era stata superata.
Si da il caso che io di mestiere abbia fatto il programmatore !!!
Quindi di seguito vi propongo l'algoritmo codificato in java.
Il metodo "converti()" di java prende in input una stringa corrispondente alla parte frazionaria del numero multivirgola, escluso quindi lo "0," iniziale, e restituisce la stringa corrispondente al risultato monovirgola. Adesso potete divertivi a convertire tutti i numeri, e riprendendo gli esempi precedenti abbiamo che:
0,000,0,5 = 0,005
0,5,5,5 = 0,555
0,500,5,5 = 0,555
0,5,55 = 0,555
0,55,55 = 0,605
0,55,1 = 0,56
0,6,5 = 0,65
0,555,95 = 0,65
Che dire ???
La prima cosa che salta all'occhio è la flessibilità del sistema multivirgola.
Uno stesso numero monovirgola può essere scritto in più modi.
In particolare, è evidente che possiamo mantenere un numero decimale dopo la prima virgola, ad esempio 0,555 e poi lavorare dopo le virgole successive per superarlo nel risultato finale, ottenendo quindi 0,65 da 0,555,95.
Cosa significa tutto questo ??? Che applicazioni può avere ???
Attualmente mi vengono in mente due possibili applicazioni:
la prima riguarda l'utilizzo del sistema multivirgola per studiare le serie numeriche.
La seconda riguarda l'utilizzo di questo sistema in ambito informatico.
Se ci fate caso, i numeri multivirgola sono simili agli indirizzi IP.
Ad esempio local host corrisponde a 127,0,0,1
Il router corrisponde a 192,168,1,0
Quindi si potrebbero pensare gli indirizzi IP come numeri multivirgola che all'occorrenza verrebbero convertiti in formato monovirgola per essere sommati, moltiplicati, divisi, messi sotto radice, logaritmo, o passati a funzioni matematiche. Tutto questo potrebbe forse essere utile per rendere la rete e i motori di ricerca più efficienti.


Leo, o sei un genio matematico e non sei completamente pazzo, o non sei un genio matematico e sei completamente pazzo, o sei entrambe le cose, o non sei né l'uno né l'altro. D'altro canto, i casi sono sempre due: perché o i casi sono due oppure no.
RispondiElimina